
2022-02-11|admin
行星減速機是一種用途廣泛的工業產品,可以降低電機的轉速,同時增大輸出轉矩。經常被應用于機床、自動化、醫療、印刷等行業。下面以一個簡單地案例來看一下減速機該如何選型。案
例如下:
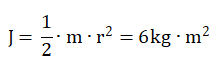
一個均勻圓柱體繞其中軸線做單向旋轉運動,旋轉速度為60轉每分鐘,物體總重量為300kg,圓柱體半徑為0.2米,加速時間為1秒,啟動后連續工作2小時。
首先計算圓柱體旋轉時的轉動慣量:
加速時間為1秒,所以得出角加速度為α=6.283rad/s2
加速時所需最大扭矩:
電機選擇西門子1FT7042,功率為850瓦,參數如下:
|
額定扭矩 |
最大扭矩 |
額定轉速 |
最大轉速 |
轉動慣量 |
|
2.7Nm |
13Nm |
3000rpm |
6000rpm |
2.81kg |
由于旋轉速度比較慢,并且所選電機功率比較小,所以需要選擇二級速比的減速機,在這里選擇紐卡特PLE60系列,減速比選擇40,該減速機的參數如下:
|
回程間隙 |
徑向力 |
軸向力 |
額定扭矩 |
最大扭矩 |
平均轉速 |
|
<12弧分 |
400N |
500N |
40N |
64Nm |
4500rpm |
對各項參數進行分析:
1. 回程間隙。該設備只做一個方向的持續旋轉運動,所以對精度要求不高,可以選擇經濟型的減速機。
2. 徑向力和軸向力。通常減速機和旋轉物體之間會有聯軸器連接,并且會有單獨的軸承座進行支撐,所以不需要考慮減速機能承受的徑向力和軸向力。
3. 慣量比。該減速比下,負載和電機的慣量比為13.35,因為圓柱體啟動之后需要長時間持續運動,所以慣量比不需要控制得非常小。
4. 轉速。該減速比下,電機的最終輸出轉速為2400rpm,小于減速機的平均輸入轉速,所以減速機不會發熱。
5. 額定扭矩。雖然減速機的額定扭矩只比設備加速所需最大扭矩大一點,但是設備加速時間比較短,大部分時間都是做勻速運動,所以減速機實際所需要承受的扭矩很小。
綜上,該減速機PLE60-40滿足使用要求。

微信掃一掃